[Oracle] SQL*Loader详细使用教程(4)- 字段列表
[Oracle] SQL*Loader 详细使用教程(4)- 字段列表
[Oracle] SQL*Loader详细使用教程(3)- 控制文件
http://www.2cto.com/database/201308/235328.html
.
.
.
1 (hiredate SYSDATE,
2 deptno POSITION(1:2) INTEGER EXTERNAL(2)
NULLIF deptno=BLANKS,
3 job POSITION(7:14) CHAR TERMINATED BY WHITESPACE
NULLIF job=BLANKS "UPPER(:job)",
mgr POSITION(28:31) INTEGER EXTERNAL
TERMINATED BY WHITESPACE, NULLIF mgr=BLANKS,
ename POSITION(34:41) CHAR
TERMINATED BY WHITESPACE "UPPER(:ename)",
empno POSITION(45) INTEGER EXTERNAL
TERMINATED BY WHITESPACE,
sal POSITION(51) CHAR TERMINATED BY WHITESPACE
"TO_NUMBER(:sal,'$99,999.99')",
4 comm INTEGER EXTERNAL ENCLOSED BY '(' AND '%'
":comm * 100"
)
指定列和字段的对应关系
我们知道SQL*Loader的工作就是把数据文件里的记录加载到数据库表中,因此一定要有数据文件的记录字段和数据库表的列的对应关系,因此在控制文件的字段列表里,我们首先得配置这种关系。这里要注意的是,并不需要表的所有列都出现在字段列表中,没有出现的列,SQL*Loader会自动用NULL填充。
但有一种字段比较特殊,叫解析字段(以FILTER标识),它不跟表的列匹配,它的主要作用是给WHEN语句提供条件判断的依据,如下所示:
INTO TABLE dept
WHEN recid = 1
(recid FILLER POSITION(1:1) INTEGER EXTERNAL,
deptno POSITION(3:4) INTEGER EXTERNAL,
dname POSITION(8:21) CHAR)
INTO TABLE emp
WHEN recid <> 1
(recid FILLER POSITION(1:1) INTEGER EXTERNAL,
empno POSITION(3:6) INTEGER EXTERNAL,
ename POSITION(8:17) CHAR,
deptno POSITION(19:20) INTEGER EXTERNAL)
指定位置(POSITION)
我们知道记录在数据文件中是以字节存储的,如果记录的每个字段大小是已知的,那么我们可以使用POSITION字句指定字段在记录中的字节位置,其语法如下:

下面是一些例子:
ename POSITION (1:20) CHAR
empno POSITION (22-26) INTEGER EXTERNAL
allow POSITION (*+2) INTEGER EXTERNAL TERMINATED BY "/"
上例中,1~20字节对应ename列,22~26字节对应empno列,*表示从上一个字段的后一个字节开始(即27),所以*+2=29,也就是说从第29个字节开始,直到遇到分隔符'/'为止的所有字节,都属于allow列。
数据类型
SQL*Loader根据控制文件里定义的数据类型读取数据文件的字段,然后把它发给数据库表里对应的列,这里需要注意的是:控制文件定义的数据类型并不需要和数据库里对应的表列一样,因为SQL*Loader会自动转换,包括字符集的转换,当然,你必须得保证它们之间是可以转换的,否则会报错。
控制文件的数据类型分为两种,分别是可移植的和不可移植的,所谓可移植的数据类型就是和具体平台无关,而不可移植的正好相反。
不可移植的数据类型有:integer(n), smallint, float, double, byteint, zoned,decimal,vargraphic, varchar, varraw, long varraw,
通常情况下,我都采用可移植的数据类型,所以下面我们重点介绍可移植的数据类型:
CHAR
最常用也是默认的数据类型,其语法如下:

length表示CHAR的最大长度,如果不指定则为256,这里一定要跟数据库的CHAR区分开,SQL*Loader的CHAR是个变长的数据类型,有点类似于数据库的varchar。
Datatime
DATE
TIME
TIME WITH TIME ZONE
TIMESTAMP
TIMESTAMP WITH TIME ZONE
TIMESTAMP WITH LOCAL TIME ZONE
Interval
INTERVAL YEAR TO MONTH
INTERVAL DAY TO SECOND
Numeric EXTERNAL
以字符形式表示数值型的数据类型,包括(INTEGER EXTERNAL, FLOAT EXTERNAL, DECIMAL EXTERNAL, and ZONED EXTERNAL),他的特性和CHAR很像,在实际使用中,一般都采用它来代替不可移植的数值型数据类型。
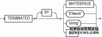
分隔符
CHAR, datetime, interval, numeric EXTERNAL字段可以使用分隔符来标识,分隔符的语法如下:

Terminated by 和 Enclosed by 可以单独使用,也可以配合使用,以下是一些例子:
TERMINATED BY ',' a data string,
ENCLOSED BY '"' "a data string"
TERMINATED BY ',' ENCLOSED BY '"' "a data string",
ENCLOSED BY '(' AND ')' (a data string)
字段条件设置(WHEN, NULLIF, DEFAULTIF)
NULLIF:如果符合条件则设为NULL,下面是一个例子:
ull_fieldname ... NULLIF column_name=BLANKS
BLANKS参数表示空白的意思(不包括tab),上面的例子表示如果字段为BLANKS,则字段为NULL。
SQL*Loader生成数据
有时候我们可能希望有些数据在加载数据的过程中自动生成,SQL*Loader提供了一些参数用于生成数据。
CONSTANT
设置列的值为常量,语法如下:
column_name CONSTANT value
表达式
设置列的值为表达式的值,语法如下:
column_name EXPRESSION "SQL string"
当前日期
设置列的值为当前日期,语法如下:
column_name SYSDATE
序列
设置列的值为唯一序列数字,语法如下:

本站文章为和通数据库网友分享或者投稿,欢迎任何形式的转载,但请务必注明出处.
同时文章内容如有侵犯了您的权益,请联系QQ:970679559,我们会在尽快处理。